Hva er samfunnets gevinst av arbeidsmarkedstiltaket Menn i helse?
Sammendrag
Denne artikkelen undersøker rekrutteringstiltaket Menn i helse og gir anslag på den samfunnsøkonomiske gevinsten av tiltaket. Analysen bygger på 527 deltakere i programmet fra fire fylker i perioden 2014–2021. Menn i helse er et samarbeidsprosjekt mellom kommuner, fylker og Nav, med KS som prosjektleder. Tiltaket kombinerer arbeidspraksis og utdanning og deltakerne mottar ytelse fra Nav i kombinasjon med lønn fra arbeidsgiver. Målet er at deltakerne skal oppnå fagbrev som helsefagarbeider og komme i arbeid etter fullført program.
Resultatene viser at målet nås for mange av deltakerne. De fleste kommer seg i jobb og får en betydelig inntektsøkning etter fullført program. Den gjennomsnittlige årlige arbeidsinntekten øker fra 103 000 kroner ved oppstart til rundt 440 000 kroner tre år senere. Etter fullført program mottar de færreste ytelser fra Nav.
For å anslå effekten av Menn i helse sammenligner jeg deltakere med en kontrollgruppe bestående av personer som mottar bistand fra Nav, men som ikke er registrert på et arbeidsmarkedstiltak. Metoden kan imidlertid ikke kontrollere for uobserverte forskjeller mellom gruppene, som motivasjon eller helse, og resultatene må derfor tolkes med varsomhet.
For deltakerne øker inntekten jevnt fra oppstart til tiltaket er avsluttet. Tre år etter oppstart i programmet har de om lag 209 000 kroner høyere lønnsinntekt enn kontrollgruppen. Jeg legger effektestimatene til grunn i en forenklet samfunnsøkonomisk analyse, som anslår en gevinst på rundt 1,1 millioner kroner per deltaker over en periode på sju år. Allerede etter tre år overstiger de samfunnsøkonomiske gevinstene kostnadene.
English summary
This article examines the recruitment program Menn i helse (Men in Health) and presents a simplified cost-benefit analysis. The analysis is based on 527 participants from four counties during the period 2014–2021. Menn i helse is a collaborative initiative involving municipalities, counties and Nav, with KS[1] Norwegian Association of Local and Regional Authorities leading the program and project coordinator. The program combines work training placement with vocational education. At the same time the participants receive benefits from Nav alongside wages from employer. The final goal is for the participants to complete a vocational certificate in healthcare and transition into employment upon completion of the program.
The results show that the program succeeds for many participants. Most transition into employment and experience a substantial increase in income. Average annual earnings rise from NOK 103,000 at the start to approximately NOK 440,000 three years later. After completing the program, few participants continue to rely on financial support from Nav.
The estimated effect of the program is based on a comparison between participants and a control group consisting of individuals who receive assistance from Nav but are not enrolled in any labour market program. However, the method does not account for unobserved differences between the groups, such as motivation or health, and the results should therefore be interpreted with caution.
Participants experience a steady increase in earnings from the start of the program until its completion. Three years after entering the program, their average earnings are approximately 209 000 NOK higher than those of the control group. The effect estimates form the basis of the simplified cost-benefit analysis, which suggests a net gain of about NOK 1.1 million per participant over a seven-year period. Societal benefits exceed the costs as early as three years after program start.
Innledning
Menn i helse er et rekrutteringstiltak hvor målet er å få flere menn inn i helsesektoren. Det retter seg mot menn som har behov for bistand fra Nav for å komme i jobb, og som ønsker en karriere som helsefagarbeider. I tiltaket er utdanning og arbeidstrening i kommunen kombinert, og deltakerne får tett oppfølging fra tiltakskoordinatorer.
Initiativet startet i Trondheim i 2010. Kommunen ønsket å øke andelen menn i helsesektoren. For å lykkes la de vekt på tett samarbeid mellom skole, arbeidsgivere og Nav. De gode erfaringene fra Trondheim førte til økt interesse for å prøve ut modellen andre steder (Lauritzen og Olsvik 2018).
I 2014 fikk Kommunesektorens organisasjon (KS) ansvaret for å lede prosjektet, og siden den gang har Menn i helse utviklet seg til et nasjonalt initiativ. I dag er prosjektet et samarbeid mellom Helsedirektoratet, Nav, fylkeskommuner og kommuner. Antallet deltakende kommuner har vokst fra 26 i 2015 til 140 i 2024 (se tabell 1).
År |
Antall deltakere som har oppnådd fagbrev (etter oppstartskull) |
Antall kommuner som har vært med i Menn i helse |
|---|---|---|
2015 |
47 |
26 |
2016 |
84 |
34 |
2017 |
108 |
36 |
2018 |
210 |
62 |
2019 |
200 |
65 |
2020 |
170 |
65 |
2021 |
220 |
100 |
2022 |
124 |
140 |
2023 |
* |
140 |
2024 |
* |
140 |
Kilde: Menn i helse (KS)
*Fagbrev krever å ha fullført 2 år av tiltaket.
Målet til KS og Nav er at deltakerne oppnår fagbrev og får arbeid på ordinære vilkår. Erfaringene viser at en stor andel oppnår fagbrev i helsefagarbeid, men det finnes ikke nøyaktige tall på hvor mange som faktisk kommer i jobb etter endt program. Det er viktig å få mer kunnskap om dette, slik at man kan vurdere om man når målene med tiltaket.
Samfunnsgevinst
Arbeidsmarkedstiltak er ressurskrevende. For Menn i helse innebærer dette blant annet lønn til tiltakskoordinatorer og lærere samt kostnader i forbindelse med lokaler og materiell. I tillegg mottar deltakerne ytelser fra Nav mens de gjennomfører programmet. Dersom tiltaket fører til varig arbeidsdeltakelse, kan tiltaket likevel være en lønnsom investering for samfunnet.
Ved å sammenligne kostnader og gevinster kan man vurdere om ressursene brukes effektivt. Det er avgjørende i gevinstberegningen å anslå hvilken merinntekt tiltaket faktisk fører til. Ville deltakerne kommet i jobb uansett, selv uten å ha deltatt i Menn i helse? Dette er et hypotetisk spørsmål, ettersom vi ikke vet hvordan det ville ha gått om deltakerne ikke hadde vært med. Det er derfor avgjørende for beregningen hva man legger til grunn som det kontrafaktiske.
Hvorfor studere Menn i helse?
Det er flere grunner til at Menn i helse er et interessant prosjekt. Først og fremst gir det deltakerne mulighet til utdanning og arbeidspraksis, noe som øker sjansen for at de får en varig tilknytning til arbeidslivet.
I tillegg svarer tiltaket på et stort behov i helsesektoren. Det er særlig mangel på helse- og sosialfaglig kompetanse, og etterspørselen etter kvalifisert personell forventes å øke i årene som kommer (Helsepersonellkommisjonen 2023, Nav 2025, Vigtel 2024).
Tiltaket kan også bidra positivt til arbeidsmiljøet på arbeidsplasser. Helse- og omsorgssektoren har i dag en klar overvekt av kvinner. Flere menn i sektoren kan bidra til en jevnere kjønnsfordeling og økt mangfold, noe som igjen kan styrke arbeidsmiljøet og potensielt øke produktiviteten (Svare 2009).[2] Se Lauritzen og Olsvik (2018) for en god diskusjon rundt emnet.
Menn i helse er også spesielt relevant for Nav å få mer kunnskap om. Prosjektet er et tverrsektorielt samarbeid hvor ulike aktører forvalter forskjellige regelverk og hensyn. Et slikt samarbeid er ofte komplisert, og kan være vanskelig å løse i praksis. Hvis Menn i helse oppnår gode resultater, kan det være en god indikator på at prosjektet har lyktes med å løse utfordringen med å samarbeide på tvers av sektorer.
Tidlig involvering av arbeidsgiver i Menn i helse gir deltakerne relevant opplæring og kontakt med mulig fremtidig arbeidsgivere. Nav ønsker å ha et nært samarbeid med arbeidsgivere, og at opplæring skal skje praksisnært (Nav 2024).
Problemstillinger
Problemstillingene i artikkelen er:
Hvordan har det gått med deltakerne i Menn i helse?
Bidrar tiltaket til at deltakerne kommer i arbeid og ikke lenger har behov for ytelser fra Nav?
Hva er samfunnets gevinst av Menn i helse?
Menn i helse
Menn i helse er et utdanningsløp som skal lede deltakerne til et fagbrev i helsefagarbeid. Løpet er komprimert sammenliknet med normal studieprogresjon, og forventet varighet er rundt to og et halvt år.
Tilbudet retter seg i hovedsak mot menn i alderen 25 år til 55 år. Det viktigste er motivasjon og alder. Kjønn er derfor ikke absolutte krav. [3]https://mennihelse.no/ Likevel er det tilnærmet utelukkende menn som deltar.
For å delta i Menn i helse er det noen krav:
være arbeidssøker
være registrert som arbeidssøker i Nav
ha norskferdigheter tilsvarende nivå B1[4] Direktoratet for høyere utdanning og kompetanse oppgir nivå B1 som at man forstår hovedpunktene i klar tekst og tale om kjente emner som man møter i arbeid og skole. Nivå B1 tilsvarer at man klarer seg i de fleste situasjoner som kan oppstå og kan enkle tekster (prove.hkdir.no/spraknivaer)
ha vært rusfri de siste fem årene
ha godkjent politiattest for å kunne jobbe i helse- og omsorgssektoren.
I utdanningsløpet veksler deltakeren på å motta ytelser fra Nav og lønn fra kommunen som er arbeidsgiver.
Tiltaket gjennomføres i grupper, og undervisning og gjennomgang av teori foregår i klasserom. Praksis, sommerjobb og lærlingtiden gjennomføres i samarbeid med kommunen, som er arbeidsgiver.
Prosjektet er et samarbeid mellom fylkesmenn, kommune, fylkeskommune, Nav, KS og Helsedirektoratet. KS leder prosjektet nasjonalt og koordinerer rekruttering, utdanning og arbeidspraksis.
Prosjektet finansieres over statsbudsjettet og av deltakende fylker og kommuner.
Ved nasjonal oppstart i 2014 var det registrert 47 deltakere som hadde oppnådde fagbrev. I 2021 hadde antallet økt til 220. I hele perioden har totalt 1 136 oppnådd fagbrev gjennom i Menn i helse.
Deltakere selekteres underveis. Hvor mange som faller fra underveis, er det ikke en fullstendig oversikt over. Et unntak er Agder, som har registrert antall som møter på informasjonsmøte, deltar på intervju, starter som helserekrutt og går videre i skoleløpet, før de til slutt oppnår fagbrev. I perioden 2016 til 2022 var det rundt 90 personer som deltok på intervjurunden, mens rundt 25 av disse (28 prosent) skrev lærekontrakt (tabell i vedlegg V1).
Tidligere forskning
Det eksisterer en omfattende forskningslitteratur om effekter av arbeidsmarkedstiltak, både internasjonalt (Card mfl. 2018) og i nasjonalt (von Simson 2023). Særlig relevant for denne artikkelen er studier av opplæringstiltak, arbeidspraksis (arbeidstrening) og kombinasjoner av disse for ordinære arbeidssøkere og personer med nedsatt helse.
Generelt viser litteraturen at aktive arbeidsmarkedstiltak samlet sett gir økt arbeidstilknytning. Dette gjelder også når det tas hensyn til innlåsningseffekten, det vil si at sannsynligheten for å få jobb kan være midlertidig redusert mens tiltaket pågår, blant annet fordi deltakeren ønsker å fullføre tiltaket eller har mindre tid til jobbsøking (Gaure mfl. 2012; Hardoy og Zhang 2013). Opplæringstiltak har typisk lengre varighet og medfører derfor større innlåsningseffekter, men nettoeffekten er likevel positiv over tid.
von Simsons (von Simson 2023) kunnskapsoppsummering viser at studier av arbeidstrening jevnt over gir dårlige resultater. En nyere studie av Oslo Economics og Frischsenteret finner imidlertid mer positive effekter av slike tiltak (Oslo economics, Frischsenteret 2024). I Menn i helse kombinerer man arbeidstrening med et utdanningsløp. En slik kombinasjon omtales som «kjedede tiltak». Her viser forskning at tiltakskjeding basert på strategien «train-then-place» er forbundet med mer positiv effekt enn «place-then-train», spesielt for ordinære arbeidssøkere og innvandrere. Zhang (2016) viser at opplæringstiltak har størst effekt alene eller etterfulgt av arbeidstrening, men effekten blir mindre dersom opplæring kommer etter arbeidstrening.
En nyere norsk studie evaluerer Navs totale portefølje av aktive arbeidsmarkedstiltak gjennom matching-metoder og bruk av registerdata (Oslo Economics og Frischsenteret 2024). Utdanningstiltak viser innlåsningseffekter de to første årene, men får store positive effekter fra og med det tredje året etter oppstart. Sammen med lønnstilskudd peker utdanningstiltakene seg ut med størst samfunnsøkonomisk gevinst.
Både Card mfl. (2018) og von Simson (2023) understreker at tidshorisonten er avgjørende for resultatene i effektevalueringer av utdanningstiltak, siden de positive virkningene først viser seg tydelig over tid. Dette skyldes at utdanningstiltak som regel kvalifiserer deltakerne til andre typer arbeid enn de ellers ville hatt tilgang til.
Data
Analysen bygger på registerdata fra et utvalg deltakere i Menn i helse. Utvalget består av personer som startet i programmet mellom 2014 og 2021 og kommer fra fylkene Vestland, Akershus, Buskerud og Trøndelag. Totalt omfatter datamaterialet 527 unike deltakere og månedlige observasjoner fra januar 2014 til desember 2023.
Avgrensningen skyldes at fylkene måtte manuelt undersøke hvem som har deltatt i Menn i helse. Siden identifiseringen var tidkrevende, var det kun mulig å undersøke et utvalg av deltakere.
Registreringstidspunktet hos Nav er etter at deltakerne har fullført helserekruttperioden og fått tilbud om å starte på utdanningsløpet. Dette betyr at utvalget består av personer som har gjennomgått intervjurunden og helserekruttperioden. Avgrensningen skyldes at deltakerne først ble registrert på dette tidspunktet. I tillegg er dataene hentet fra fylker som har gjennomført flere årskull og hatt en viss størrelse på klassene.
Den mest sentrale utfallsvariabelen i analysen er arbeidsinntekt, hentet fra a-meldingen. Nav har hatt tilgang til disse opplysningene siden 2015, noe som begrenser analysen av de tidligste kohortene. For å kompensere for dette benytter jeg også data om pensjonsgivende inntekt fra skatteregisteret. Når jeg bruker skatteregisteret, ekskluderer jeg arbeidsavklaringspenger (AAP) og dagpenger fra inntekten, siden disse inngår i pensjonsgivende inntekt.
I lønnsomhetsberegningen er det relevant hvor mye deltakerne har mottatt i ytelser fra Nav. Jeg avgrenser disse utbetalingene til AAP, dagpenger, tiltakspenger og uføretrygd. Alle ytelsesdata er hentet fra Navs utbetalingsregister.
Informasjon om andre kjennetegn, som alder, fødeland og sivilstatus, er hentet fra folkeregisteret. Opplysninger om registrering i tiltak og innsatsgruppe er hentet fra fagsystemet Arena.[5] Nav benytter en kopi av folkeregistret, også omtalt som det tjenestebaserte personsystemet (TPS).
Jeg benytter opplysninger om utdanning og yrkeserfaring. Utdanningsdata er basert på selvrapportering ved registrering hos Nav, mens opplysninger om yrkeserfaring stammer fra Navs dataregistre.
Opplysninger om kostnader knyttet til videregående opplæring er innhentet direkte fra KS og prosjektets budsjett. Kostnader knyttet til lærlingplasser er basert på fastsatte satser fra Utdanningsdirektoratet. [6]https://www.udir.no/om-udir/tilskudd-og-prosjektmidler/tilskuddssatser/2024/satser-larlinger-praksisbrevkandidater-larekandidater-og-kandidater-for-fagbrev-pa-jobb-2024/
Verdier på ulike tidspunkt er omgjort til grunnbeløp, slik at de er sammenlignbare over tid. Kronebeløp i analysen er i 2024-kroner. [7] G justeres i takt med lønnsveksten. Justeringen er basert på forventet lønnsvekst for året (https://www.regjeringen.no/no/tema/pensjon-trygd-og-sosiale-tjenester/innsikt/trygdesystemet/regulering-av-folketrygdens-grunnbelop-og-pensjoner/id2008616/). Man kan derfor si at kroneverdiene i analysen er omregnet til 2024-lønn.
Metode
En sentral utfordring ved å anslå effekten av arbeidsmarkedstiltak er at vi bare observerer deltakelse. Vi kan derfor ikke vite hvordan deltakere ville klart seg dersom de ikke hadde deltatt. For å besvare dette hypotetiske spørsmålet sammenligner jeg deltakerne i Menn i helse med en kontrollgruppe. Kontrollgruppen består av personer som har oppsøkt Nav for bistand, men som ikke er registrert som deltakere i et arbeidsmarkedstiltak på tidspunktet for kursoppstart for Menn i helse. Valget av kontrollgruppe har også betydning for hvordan resultatet fra den samfunnsøkonomiske beregningen skal tolkes. Beregningen viser nå gevinsten av å delta i Menn i helse, sammenliknet med å ikke få tilbud om et arbeidsmarkedstiltak.[8] I en samfunnsøkonomisk analyse vil det å ikke få tilbud om å delta i et arbeidsmarkedstiltak (på registreringstidspunktet) være null-alternativet.
For å få mest mulig data, er kontrollgruppen basert på registreringer i hele landet. Jeg utelukker ikke at kontrollgruppen på et senere tidspunkt kan delta i et tiltak.
En direkte sammenligning mellom gruppene vil gi et skjevt anslag på effekten av tiltaket. Dette skyldes at deltakelse i arbeidsmarkedstiltaket ikke er tilfeldig. Deltakere kan være mer motiverte, eller de kan ha blitt vurdert som spesielt egnede av Nav-veilederen og tiltakskoordinatoren. Sammenlignet med kontrollgruppen kan deltakerne i tiltaket ha kjennetegn som også påvirker sannsynligheten for å komme i arbeid. Dersom man ikke tar hensyn til dette, risikerer man å tilskrive tiltaket en effekt som egentlig skyldes egenskaper ved deltakerne.
I et ideelt forskningsdesign ville deltakerne blitt fordelt tilfeldig til tiltak eller kontrollgruppe i et randomisert kontrollert forsøk. Siden jeg kun har observasjonsdata, forsøker jeg i stedet å gjøre tiltaksgruppe og kontrollgruppe så like som mulig.
For å redusere skjevheten mellom gruppene, benytter jeg en statistisk metode kjent som «matching». Hensikten med metoden er å sammenligne hver deltaker i Menn i helse med én eller flere lignende personer i kontrollgruppen. Hvem som regnes som like blir bestemt ut fra observerbare kjennetegn som alder, sivilstatus, inntektshistorikk (pensjonsgivende inntekt fratrukket AAP og dagpenger), hvilke ytelser de har mottatt fra Nav, utdanning (selvrapportert), bosted og oppfølgingsvedtaket.
Etter at deltakerne er matchet med lignende personer i kontrollgruppen, estimerer jeg forskjellen i arbeidsinntekt og mottatte ytelser fra Nav etter kursoppstart i Menn i helse.
Den viktigste svakheten med metoden er at vi kun kontrollerer for observerte variabler. Relevante forhold som motivasjon, norskferdigheter og eventuell rusproblematikk har vi ikke kjennskap til. Siden motivasjon er nevnt som et viktig kriterie for deltakelse i tiltaket er det sannsynlig at det er en relevant faktor som vi ikke kan kontrollere for. Dette innebærer at metoden trolig ikke klarer å ta høyde for alle relevante forskjeller mellom gruppene. Det kan gi skjevhet i resultatene – og antakelig i positiv retning. Antagelsen er likevel at variabler som inntektshistorikk, bruk av trygdeytelser og utdanning bidrar til å redusere systematiske forskjeller slik at gruppene er mer sammenlignbare.
Hensikten med anslaget er ikke å estimere den sanne kausale effekten av tiltaket, men å komme nærmere den faktiske effekten. Resultatene fra analysen inngår senere i beregningen av samfunnsgevinsten av Menn i helse.
Siden vi ikke kan være sikre på hvor nær anslaget ligger den sanne effekten, gjennomfører jeg en usikkerhetsanalyse som en del av den samfunnsøkonomiske beregningen. Her undersøker jeg hvordan mulige feil i estimatet kan påvirke gevinstberegningen. Siden den kausale effekten er usikker, er usikkerhetsanalysen særlig viktig.
Matching
For å anslå effekten av tiltaket bruker jeg propensity score (tilbøyelighetsskår) matching (se for eksempel Dehejia og Wahba 1999). Jeg estimerer først sannsynligheten for å delta i Menn i helse (tilbøyelighetsskår) basert på observerbare kjennetegn (Rosenbaum og Rubin 1983). Jeg benytter en logistisk regresjonsmodell til å beregne sannsynligheten. Modellen inkluderer variabler som historisk inntekt (4 år før kursoppstart), ytelser fra Nav (AAP og dagpenger, 3 år før kursoppstart), oppfølgingsvedtak, alder, sivilstatus, antall barn og selvrapportert utdanning. Fra estimeringen får hver person en verdi mellom 0 og 1, som uttrykker sannsynligheten for å delta i tiltaket (tilbøyelighetskår) gitt disse opplysningene (se for eksempel gjennomgangen til Cunningham 2021).
Likningen illustrerer tilbøyelighetskåren (P, når deltagelse (D) er lik 1) som er en funksjon av de observerbare variablene X.

Effekten av tiltaket anslår jeg ved hjelp av inverse probability weighting (IPW), hvor hver persons tilbøyelighetsskår brukes som vekt på deres observerte utfall (Imbens 2000). Ved å bruke disse vektene kan man korrigere for forskjeller mellom deltakerne og kontrollgruppen, og anslå den gjennomsnittlige effekten av tiltaket. Helt konkret estimerer jeg effekten blant de som deltar (ATT). I vedlegget (V3) rapporterer jeg estimatet for utvalget som helhet (ATE). I vedlegget viser jeg også i detalj hvordan jeg går fram for å anslå de ulike estimatene.
Intuisjonen bak IWP er at personer som har lav sannsynlighet for å være i sin faktiske gruppe (enten deltakere eller kontrollgruppen), tillegges høyere vekt. Dette gir personer som er mer like sin kontrafaktiske deltakerstatus, større betydning.
Vektingen bidrar slik å gjøre gruppene mer sammenlignbare. Vi kan dermed anslå effekten fra tiltaket, gitt antakelsen om at gruppene er like om vi kontrollerer for observerbare kjennetegn (Austin og Stuart 2015).
For å anslå standardavvikene til estimatene bruker jeg bootstrapping, slik det er beskrevet av Bodory mfl. (2020).
Jeg anslår også effekten av tiltaket ved hjelp av andre estimeringsstrategier, som presenteres i vedlegg V3. Hensikten er å vise hvordan ulike metoder, basert på ulike forutsetninger, estimerer effekten. En av metodene er blant annet minste kvadraters metode mens andre er matching med bruk av nærmeste nabo og forskjell-i-forskjell. Sammenlikningen er relevant for å vurdere mulig skjevhet i estimatet.
Samfunnsøkonomisk gevinstberegning
Hensikten med en samfunnsøkonomisk lønnsomhetsberegning er å vurdere om kostnadene ved gjennomføring av tiltaket er lavere enn de samfunnsøkonomiske gevinstene. I andre del av analysen gjennomfører jeg en forenklet samfunnsøkonomisk analyse basert på Direktoratet for forvaltning og økonomistyring sin veileder for samfunnsøkonomiske analyser (DFØ 2023).
Gevinstberegningen bygger på sammenligningen mellom deltakerne i Menn i helse og en kontrollgruppe. Ordinær oppfølging og veiledning fra Nav utgjør det kontrafaktiske for deltakerne i tiltaket, noe som kan inkludere deltakelse i et arbeidsmarkedstiltak på et senere tidspunkt. Kriteriene for valg av kontrollgruppe er forsøkt å være lik valget til områdegjennomgangen til Oslo Economics og Frischsenteret (2024). På denne måte blir det enklere å sammenligne resultatet med områdegjennomgangen.
Gevinster og kostnader ved Menn i helse avhenger av hvem som berøres av tiltaket, hovedsakelig deltakerne, Nav, utdanningsinstitusjoner og arbeidsgivere. Tiltaket gjennomføres imidlertid ikke i et vakuum, men påvirkes av samfunnet rundt. Tabell 2 gir en oversikt over kostnader og nyttegevinster av tiltaket fordelt på berørte parter.
Et sentralt begrep i analysen er prissatte gevinster, som omfatter virkninger som kan kvantifiseres, for eksempel i et marked. I denne analysen er dette blant annet økt verdiskaping. Ikke-prissatte virkninger refererer til effekter som ikke enkelt lar seg tallfeste, slik som individuelle fordeler deltakerne oppnår ved å delta. I analysen er hovedsakelig de på prissatte virkningene i fokus.
Den samfunnsøkonomiske verdien av arbeid måles i denne analysen ved arbeidsgivers betalingsvillighet, altså lønn, arbeidsgiveravgift og øvrige sosiale kostnader (som pensjon og forsikring). I statsbudsjettet for 2018 anslo Finansdepartementet en gjennomsnittlig arbeidsgiveravgift på 13 prosent (Prop. 1 LS 2017-2018). I tillegg kommer øvrige kostnader som varierer mellom sektorer og regioner. Jeg legger derfor til grunn et samlet påslag på 20 prosent utover lønn for å beregne samfunnsøkonomisk verdiskapning knyttet til arbeid.
Tabell 2 viser i stort hvilke kostnader og hvilken nytte et arbeidsmarkedstiltak har, og hvordan virkningene fordeler seg mellom prissatte og ikke-prissatte effekter.
Virkning |
Verdsetting |
|
|---|---|---|
Kostnad |
Tiltakskostnader[9] Dette er direkte kostnader for å gjennomføre selve tiltaket. Det kan være lønnskostnader for opplæring, materialkostnader og husleie. finansiert av Nav |
Prissatt effekt |
Tiltakskostnader andre sektorer |
Prissatt effekt |
|
Merkostnad Nav-veileders tidsbruk |
Prissatt effekt |
|
Kostnad for arbeidsgivere underveis i tiltaket |
Prissatt effekt |
|
Individuelle kostnader for tiltaksdeltakerne[10] Dette er tiltakspenger og andre overføringer fra Nav underveis i arbeidsmarkedstiltaket. |
Prissatt effekt |
|
Fortrengingseffekt: Økt arbeidsdeltakelse blant tiltaksdeltakere kan fortrenge andre arbeidstakere |
Ikke-prissatt effekt |
|
Nytte |
Økt verdiskapning |
Prissatt effekt |
Spart trygd |
Prissatt effekt |
|
Verdiskapning hos arbeidsgiver |
Ikke-prissatt effekt |
|
Individuell nytte |
Ikke-prissatt effekt |
|
Avklaring av manglende arbeidsevne, dokumentere behov for uføretrygd |
Ikke-prissatt effekt |
|
Effekt på omgivelsene |
Ikke-prissatt effekt |
Det er en forskjell mellom samfunnsøkonomisk lønnsomhet og effekten på offentlige budsjetter. Selv om effekten av et tiltak reduserer utbetalingene fra Nav, er dette i seg selv ikke en gevinst. Prinsipielt er trygdeytelser en overføring fra staten til enkeltpersoner, og en reduksjon i trygdeutgifter innebærer ikke nødvendigvis en direkte verdiskaping. Gevinsten oppstår først når myndighetene unngår å kreve inn skatt for å finansiere ytelsene. I henhold til DFØs veileder beregnes denne effekten til 20 prosent av budsjettvirkningen.
En sentral forutsetning i beregningen er hvor lenge tiltaket har virkning. DFØs veileder inneholder ingen klare retningslinjer for hvor lenge gevinster fra et tiltak skal beregnes, og dette avhenger av det konkrete tiltaket, berørte grupper og typen effekter man undersøker.
Oslo Economics og Frischsenteret (2024) legger til grunn, på usikkert grunnlag, at arbeidsmarkedstiltak gir en effekt på arbeidsinntekt og mottak av trygdeytelser i en periode på syv år, basert på funnene til Markussen og Røed (2014). Jeg benytter samme forutsetning i denne analysen.
Oslo Economics og Frischsenteret påpeker imidlertid at utdanningstiltak kan ha effekter utover syv år, ettersom utdanning gjør deltakerne kvalifisert for jobber de ellers ikke ville hatt tilgang til. Det er sannsynlig at effekten av Menn i helse varer lengre enn syv år.
For å sammenstille gevinster og kostnader som oppstår på ulike tidspunkter, er det vanlig praksis i samfunnsøkonomiske analyser å diskontere verdiene. Prinsippet er at gevinster og kostnader i nær tid har en høyere verdi enn dem som oppstår på senere tidspunkt. I rundskrivet sitt (R-109/21) anbefaler Finansdepartementet (2021) en diskonteringsrate på 4 prosent, noe jeg legger til grunn i min analyse.
Resultat
Tiltaksgruppen er i gjennomsnitt 38 år og har i snitt ett barn. Rundt 20 prosent er gift, og 79 prosent er født i Norge. Tabell 3 viser deskriptiv statistikk for utvalget ved oppstart av utdanningsdelen av tiltaket. Her ser vi at 56 prosent av deltakerne er vurdert til å ha behov for situasjonsbestemt oppfølging, mens 44 prosent har tilpasset innsatsbehov.[11] Under korona-pandemien i 2021 ble det gitt flere vedtak om tilpasset innsatsbehov. Omtrent en av fem har ingen inntekt året før oppstart. Jeg regner dette som tilsvarende som å ikke være i arbeid. Gjennomsnittlig inntekt to år før kursstart var 240 000 kroner.
Variabler |
Deltakere i Menn i helse |
|---|---|
Antall |
527 |
Andel menn (i prosent) |
92 |
Gift (i prosent) |
20 |
Antall barn |
0,8 |
Fødeland Norge (i prosent) |
79 |
Alder ved oppstart (registrering) |
38,5 |
Andel vurdert av Nav til å ha tilpasset innsatsbehov (i prosent) |
44 |
Andel vurdert av Nav til å ha situasjonsbestemt innsatsbehov (i prosent) |
56 |
Arbeidsledig, 1 år før registering (i prosent) |
20 |
Andelen med mer enn 2 G i Inntekt, 2 år før (i prosent) |
54 |
Andelen med mer enn 2 G i Inntekt, 1 år før (i prosent) |
40 |
Andelen som mottar AAP, 2 år før registrering (i prosent) |
13 |
Andelen som mottar AAP, 1 år før registrering |
21 |
Andelen som mottar DP, 2 år før registrering (i prosent) |
20 |
Andelen som mottar DP, 1 år før registrering (i prosent) |
36 |
Kilde: Nav
Deltakerne kommer i arbeid, og mottar lite i ytelser fra Nav
Figur 1 viser hvordan deltakernes arbeidsinntekt utviklingen seg over tid. Venstre panel viser årlig og høyre viser månedlig inntekt. Fire år før kursoppstart har deltakerne en gjennomsnittlig inntekt på rundt 270 000 kroner. Inntekten faller jevnt frem til de starter på tiltaket (teoridelen) og er på sitt laveste i registreringsåret og månedene etter oppstart, altså september. Da er gjennomsnittlig inntekt rundt 103 000 kroner. Inntekten i sommermånedene kommer fra sommerpraksis i tiltaket.
Etter å ha begynt på teoridelen øker inntekten. Allerede i det første året er inntekten rundt 190 000 kroner og tre år etter har den økt til om lag 440 000 kroner.
Figur 2 viser utbetalingen av ytelsene fra Nav. I hovedsak mottar deltakerne AAP og dagpenger, og rundt kursstart (år 0) mottar noen også tiltakspenger. Ett år før kursoppstart mottar deltakerne rundt 55 000 kroner i dagpenger og rundt 47 000 kroner i AAP. På det tidspunktet kurset starter er de samlede utbetalingene nær 102 000 kroner i dagpenger og i overkant av 68 000 kroner i AAP.
Utbetalingene reduseres i årene etter. Tre år etter kursstart er gjennomsnittlig utbetaling av AAP redusert til rundt 16 000 kroner og dagpenger, tiltakspenger og tilleggsstønad er samlet 12 000 kroner. Få i utvalget blir uføre. Fire år etter kursoppstart gjelder dette færre enn fem personer.
Figur 1. Utvikling i arbeidsinntekten til deltakerne i Menn i helse etter antall år (venstre panel) og etter måneder (høyre panel) før og etter start på teoridelen (punkt 0). Arbeidsinntekt er i 2024-kroner.
Kilde: Nav
Figur 2. Gjennomsnittlig årlig utbetaling av ulike ytelser fra Nav til deltakerne i Menn i helse, i 2024-kroner. Ytelsene i figuren er arbeidsavklaringspenger (AAP), dagpenger, tiltakspenger og tilleggsstønad for utgifter knyttet til utdanning.
Kilde: Nav
Et interessant funn er at resultatet ser ut til å være stabilt på tvers av oppstartsår. Når jeg sammenligner kohorter på tvers av oppstartsår, er det små forskjeller både i inntektsutvikling og i utbetaling fra Nav. Det samme gjelder på tvers av fylker (se figur V1 og V2 i vedlegget).
Trolig stor merinntekt fra deltakelse
Den tidligere gjennomgangen viste en positiv utvikling i deltakernes inntekt (figur 1). Likevel forteller den deskriptive fremstillingen alene ikke om tiltaket har en faktisk effekt. Det sentrale spørsmålet er om Menn i helse fører til at deltakerne tjener mer og mottar mindre ytelser enn de ellers ville ha gjort.
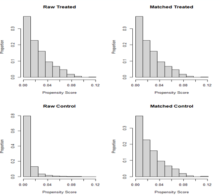
Ved bruk av den statistiske metoden matching, finner jeg dem i kontrollgruppen som er mest mulig sammenlignbare med deltakerne i Menn i helse. Tabell 4 viser deskriptive kjennetegn til kontrollgruppen og etter at de nærmest deltakerne vektes i større grad (se faktaboksen i metodedelen).
I utgangspunktet skiller kontrollgruppen seg noe fra deltakerne i Menn i helse. De er i snitt eldre, har høyere tidligere inntekt og har i mindre grad mottatt AAP og dagpenger. Færre er også vurdert til situasjonsbestemt innsats.
Etter vektingen blir gruppene langt mer lik i observerbare kjennetegn. Dette illustreres i figur 3, som viser den standardiserte gjennomsnittlige differansen (Zhang mfl. 2019) mellom deltakerne og kontrollgruppen. De sorte punktene viser forskjellene før vektingen og de røde etter. Jo lengre til høyre punktene er, desto større er forskjellen. Punktene til venstre for den vertikale linjen indikerer at forskjellen ikke er statistisk signifikant. Figuren viser at vektingen i stor grad utjevner forskjellen mellom gruppene.[12] I vedlegg V2 har jeg en mer detaljert gjennomgang Standardisert gjennomsnittlig differanse (SMD) og verdiene i figur 4.
Variabler |
Kontrollgruppen (hele utvalget) |
Dem i kontrollgruppen, nærmest deltakerne i Menn helse |
Deltakere i Menn i helse |
|---|---|---|---|
Antall |
62 930 |
_ |
527 |
Gift (i prosent) |
30 |
20 |
20 |
Antall barn |
0,62 |
0,81 |
0,8 |
Fødeland Norge (i prosent) |
68 |
77 |
79 |
Alder ved oppstart (registrering) |
41,5 |
38,3 |
38,5 |
Andel vurdert av Nav til å ha tilpasset innsatsbehov (i prosent) |
75 |
41 |
44 |
Andel vurdert av Nav til å ha situasjonsbestemt innsatsbehov (i prosent) |
25 |
59 |
56 |
Arbeidsledig, 3 år før registering (i prosent) |
25 |
14 |
15 |
Arbeidsledig, 2 år før registering (i prosent) |
22 |
19 |
18 |
Arbeidsledig, 1 år før registering (i prosent) |
20 |
20 |
20 |
Inntekt*, 2 år før registrering (kroner) |
363 000 |
299 000 |
301 900 |
Inntekt*, 1 år før registrering (kroner) |
339 780 |
227 400 |
225 000 |
AAP, 2 år før registrering (i kroner) |
3 700 |
29 300 |
31 800 |
AAP, 1 år før registrering (i kroner) |
3 700 |
56 200 |
61 100 |
Dagpenger, 2 år før registrering (i kroner) |
1 200 |
33 000 |
30 600 |
Dagpenger, 1 år før registrering (i kroner) |
9 800 |
59 900 |
63 600 |
Kilde: Nav
*Pensjonsgivende inntekt fratrukket AAP og dagpenger.
Figur 3. Standardisert gjennomsnittlig differanse (SMD) mellom deltakerne i Menn i helse og dem i kontrollgruppen. Orange punkter viser SMD til kontrollgruppen etter vekting. Blå punkter viser SMD før vektingen.
Kilde: Nav
Venstre panel i figur 4 viser utviklingen i arbeidsinntekt[13] For årene før tiltaksstart (-4 til og med -1) viser figuren pensjonsgivende inntekt fratrukket AAP og dagpenger. Fra 0 til 4 viser figuren inntekt fra A-meldingen. til deltakerne i Menn i helse sammen med den vektede kontrollgruppen. Vektingen tilsvarer estimatet for ATT.
I år 0 har deltakerne tilnærmet lik inntekt som personene i kontrollgruppen. Allerede det første året etter oppstart øker deltakernes inntekt. Forskjellen mellom gruppene fortsetter å øke, og i år 2 er differansen rundt 122 000 kroner, mens den i år 3 og 4 er nær 209 000 kroner.
I høyre panel i figuren 4 er anslått effekt av Menn i helse. Effekten tilsvarer differansen mellom linjegrafene i venstre panel. I tillegg er anslagene med konfidensintervall.
Figur 5 viser utviklingen i utbetalinger av ytelser fra Nav (dagpenger og AAP)[14] Tiltakspenger er ikke medregnet det er heller ikke uføretrygd. . Også her følger gruppene hverandre tett før kursoppstart. I år 0 mottar Menn i helse marginalt mer i ytelser enn personer i kontrollgruppen mens allerede ett år etter mottar deltakerne mindre. Dette ser ut til å fortsette i år tre og fire. Differansen holder seg stabilt, som skyldes at også kontrollgruppen mottar mindre i ytelser fra Nav med tiden.
Figur 4. Arbeidsinntekten* (i 2024-kroner) til deltakerne i Menn i helse og dem i kontrollgruppen, etter antall år før og etter registreringstidspunktet hos Nav (utdanningsdel). Panelet til høyre viser effektene fordelt etter år, med 95-prosent konfidensintervall.
*Inntekten før kursoppstart er pensjonsgivende inntekt fratrukket AAP og dagpenger. Inntekten fra kursoppstart (fra 0) og årene etter er fra A-meldingen.
Kilde: Nav
Figur 5. Utbetaling av AAP og dagpenger (samlet) til deltakerne i Menn i helse og dem i kontrollgruppen. Y-aksen er i 2024-kroner, etter antall år før og etter registreringstidspunktet hos Nav. Panelet til høyre viser effektene fordelt etter år, med 95-prosent konfidensintervall.
Kilde: Nav
Kostnader ved å gjennomføre tiltaket
Det første året av Menn i helse får deltakerne undervisning. Undervisningen er et komprimert løp, som innebærer at Vg1 og Vg2 (den delen av fagutdanningen som normalt gjennomføres de første to årene) gjennomføres på ett år. Kostnadene knyttet til klasseromsundervisningen er lønn til lærere samt administrasjonskostnad. I tillegg er det kostnader av varer og tjenester og ved leie av lokaler.
For kullet 2022-2023 i Buskerud var lønnsutgiftene anslagsvis 1,362 mill. kroner, mens varer og tjenester (inklusiv husleie) kostet anslagsvis 453 000 kroner. Totalt deltok 26 personer i dette årskullet, noe som gir en enhetspris på 69 800 kroner per deltaker.
Etter klasseromsundervisningen skal deltakerne ut i lære i om lag ett år. For bedriftene er det en kostnad knyttet til å gi opplæring. Vi bruker Utdanningsdirektoratets satser for lærekontrakter eller opplæringskontrakt med lærlinger som er 21 år eller eldre (basistilskudd 2). Satsen for basistilskudd 2 er 5728 kroner per måned, totalt 68 732 kroner per år.[15]https://www.udir.no/om-udir/tilskudd-og-prosjektmidler/tilskuddssatser/2024/satser-larlinger-praksisbrevkandidater-larekandidater-og-kandidater-for-fagbrev-pa-jobb-2024/
Samfunnsøkonomisk gevinstberegning
I dette avsnittet gjennomgår jeg kostnader og gevinster som ligger til grunn for beregningen. Alle beløp er i 2024-priser.
Prissatte kostnader
Kostnadene ved opplæring er basert på anslagene fra Menn i helse Buskerud, hvor den prisjusterte enhetsprisen var 76 530 kroner. Siden opplæringen i prinsippet må finansieres gjennom økte skatter, legger jeg til en skattefinansieringskostnad på 20 prosent.
Etter det første året, år to og tre, skjer opplæringen gjennom lærlingeplass. Her legger jeg til grunn satsen for basistilskudd 2, som utgjør 68 732 kroner og også her legger jeg til en skattefinansieringskostnad på 20 prosent.
Det er i tillegg kostnader knyttet til veiledning og oppfølging av deltakerne. For å få tilbud om plass i Menn i helse må deltakerne blant annet gjennom noen informasjonsmøter og et intervju. Oppfølgingen blir i hovedsak gitt av koordinator ansatt av KS, mens Nav-veiledere er mindre involvert. Det er usikkert om deltakerne følges opp mer eller mindre enn personer som ikke deltar i arbeidsmarkedstiltak. For å forenkle antar jeg at det er lik ressursbruk for deltakelse i Menn i helse som for andre med behov for bistand fra Nav.
Noen av deltakerne får utbetalt tiltakspenger. I figur 2ser vi at det gjelder i år 0 og 1. Siden de fleste deltakerne får dagpenger eller AAP, er utbetalingen av tiltakspenger relativt lav. I utregningen legger jeg til grunn den faktiske utbetalingen, som i snitt er 4 300 kroner per år.
Prissatte gevinster
Den største gevinsteffekten av Menn i helse kommer av økt arbeidsdeltakelse. Jeg bruker anslaget fra effektevalueringen i beregningen.[16] Jeg legger til grunn estimatet for de som deltar i Menn i helse (ATT). Anslaget dekker de fire første årene, og jeg forutsetter at merinntekten i årene etter er den samme som det siste året. Gjennomsnittlig merinntekt over 7 år er anslått til 125 700 kroner per år. [17] Dette er etter at verdien er diskontert. Før neddiskontering er merinntekten 184 500 kroner. Om vi tillegg medregner arbeidsgiver- og sosiale avgifter øker gevinsten til rundt 147 000 kroner.
Økt sysselsetting reduserer behovet for ytelser fra Nav. Jeg legger til anslaget fra effektanalysen presentert tidligere. Reduksjonen i utbetalinger er anslått til 110 000 kroner per deltaker. Jeg forutsetter at det siste året med anslag også gjelder i tiden etter. Dette er muligens noe høyt, når også kontrollgruppen mottar mindre i trygdeytelser med tiden.
Siden trygdeytelser i samfunnsøkonomisk forstand er en overføring fra staten til enkeltpersonen, beregnes gevinsten som skattefinansieringskostnaden på 20 prosent av beløpet, altså22 000 kroner. Etter diskontering, reduseres gevinsten til 19 260 kroner per år
Basert på disse forutsetningene summerer den samfunnsøkonomiske gevinsten seg til 1,1 mill. kroner per deltaker. Allerede det tredje året har gevinstene betalt for kostnadene for tiltaket.
Figur 6. Samfunnsøkonomisk gevinst per deltaker i Menn helse, fordelt etter bidraget fra de ulike komponentene i beregningen, i hele beregnings. Millioner 2024-kroner.
Kilde: Nav
Usikkerhetsanalyse
Det er flere av forutsetningene i utregningen som er usikre. De faktiske gevinstene og kostnadene kan derfor avvike. I dette avsnittet undersøker jeg hvordan resultatet påvirkes om gevinster og kostnader er noe annerledes enn hva forutsatt i hovedresultatet.
Viktigst for utregningen er anslagene for i hvilken grad deltakelse på Menn i helse fører til økt arbeidsinntekt. I nytte-kostanalysen antar vi at gevinsten varer i syv år. Om effekten på verdiskapningen varer tre år lenger, gir det en økt samfunnsgevinst på 570 000 kroner per deltaker. Om varigheten kun er fem år, reduseres gevinsten med 420 000 kroner.
Det er en fare for at anslaget fra effektstudien er skjevt. Hvorvidt anslaget er feil, avhenger av hvordan inntektstrenden til deltakerne i Menn i helse ville vært i fravær av tiltaket. Hvis gruppen har en svakere utvikling enn hva vi antar i analysen, er anslaget for lavt. Utviklingen vi forutsetter tilsvarer trenden til kontrollgruppen. Siden kontrollgruppen ikke deltar i arbeidsmarkedstiltak, kan dette være et tegn på at gruppen er nærmere arbeidsmarkedet enn deltakerne i Menn i helse. På den andre side er Menn i helse et krevende arbeidsmarkedstiltak å gjennomføre, og deltakerne er en ressurssterk og motivert gruppe. I effektanalysen benytter vi som nevnt en metode for å gjøre kontrollgruppen lik deltakerne. Det er likevel en risiko for at metoden ikke klarer dette tilstrekkelig.
Hvis merinntekten er 30 prosent lavere (eller høyere) enn anslaget i hovedresultatet, reduseres/øker samfunnsgevinsten med rundt 280 000kroner mer. 30 prosent er en betydelig reduksjon i anslaget. I år fire etter oppstart, tilsvarer dette omtrent den nedre grensen av 95-prosent konfindensintervallet (se tabell V2).
Kostnaden for å gjennomføre utdanningsløpet er basert på enhetskostnad for Vest-Viken (Buskerud og deler av Akershus). Enhetskostnadene er trolig høyere for klasser som har færre elever. Om enhetskostnaden er det dobbelte, reduseres gevinsten med 150 000 kroner.
Det er også usikkert hvor stor reduksjonen i trygdebruken vil være. Om vi antar den vil være 50 prosent høyere (og lavere) enn i hovedresultatet, gir det en mer- (mindre-) gevinst på 75 000 kroner.
Figur 7. Endring av forutsetningene i hovedresultat og hvordan det påvirker resultatet (per deltaker som fullfører løpet).
Kilde: Nav
Oppsummering og diskusjon
I denne artikkelen har jeg undersøkt arbeidsmarkedstiltaket Menn i helse og gjennomført en forenklet samfunnsøkonomisk gevinstberegning. Analysen viser at deltakerne i stor grad oppnår stabil tilknytning til arbeid, og i etterkant mottar lite i ytelser fra Nav. Tre år etter oppstart har deltakerne en gjennomsnittlig årlig inntekt på om lag 440 000 kroner.
Beregningen av den samfunnsøkonomiske gevinsten viser at tiltaket er lønnsomt. Jeg anslår en netto gevinst på 1,1 mill. kroner per deltaker, forutsatt at effekten varer i syv år. Beregningen i analysen omfatter kun prissatte effekter. Dette gir et snevert bilde, ettersom stabil arbeidstilknytning kan ha flere positive virkninger som vanskelig lar seg verdsettes i kroner. Blant annet kan arbeid ha positiv innvirkning på helsen. Slike virkninger er viktig, og bør tas med i en helhetlig vurdering av tiltakets verdi.
Gevinstberegningen er forbundet med usikkerhet fordi den bygger på flere forutsetninger. Usikkerheten knytter seg særlig til anslaget for hvor stor økningen i arbeidsinntekt tiltaket fører til, noe jeg har vist i usikkerhetsanalysen. Det skyldes at effektanalysen er basert på observasjonsdata, og at uobserverbare faktorer som motivasjon kan ha stor betydning. Det er derfor risiko for at effekten av tiltaket overvurderes. Det gjør at resultatet må tolkes med varsomhet. Dette er særlig relevant i lys av at deltakerne har vært gjennom en seleksjonsprosess før de fikk tilbud om å delta.
En annen viktig usikkerhetsfaktor er varigheten på effekten. Som tidligere diskutert er det trolig slik at utdanningstiltak gir effekt på arbeidsinntekt i en lengre periode enn andre arbeidsmarkedstiltak. I usikkerhetsanalysen viste jeg at dersom vi forutsetter at tiltaket gir effekt i 10 år i stedet for 7 år, gir det en betydelig økt lønnsomhet. Fordi varigheten av effekten trolig er lengre enn hva jeg legger til grunn i utregningen, har resultatet i analysen en mulig oppside. Det må dessuten fremheves at tiltaket allerede det tredje året har betalt seg.
Utvalget jeg har undersøkt viser at Menn i helse har lyktes godt. Det kan derfor være verdifullt for Nav å vurdere hvordan erfaringer og løsninger fra prosjektet kan anvendes i andre arbeidsmarkedstiltak. Forsmark og Stav (2014) fremhever at gruppedynamikk og fellesskapsfølelsen blant helserekrutter var avgjørende for lavt frafall og høy gjennomføringsgrad. Blant helserekruttene utviklet det seg eierskapsfølelse til prosjektet, som bidro til motivasjon og gjennomføring.
Forsmark og Stav (2014) peker også prosjektlederens rolle som sentral for tiltakets suksess. Prosjektlederne beskrives som kreative og løsningsorienterte, med evne til å tenke utradisjonelt. Samtidig ga arbeidsgiveren (Trondheim kommune) prosjektlederne stor grad av frihet og ansvar. De beskrives også som dyktige til å formidle, noe som bidro til bred og positiv oppmerksomhet rundt prosjektet.
En annen viktig forklaring på den høye gjennomføringsgraden er at KS gjør en grundig jobb i rekrutteringen av kandidater. Intervjurunden og innledende helserekruttperiode gir både deltakerne og prosjektet et grunnlag for å vurdere om tiltaket passer. Deltakerne får tidlig innsikt i hva som kreves, og om arbeidet i helsesektoren er riktig for dem.
Nav har et annet mandat enn KS, og skal sikre hensiktsmessig oppfølging for alle som har behov for bistand. Det er også slik at veiledere i Nav i større grad retter innsatsen mot personer som står lengre fra arbeidsmarkedet. Dette er med på å forklare hvorfor Menn i helse kan fremstå som særlig lønnsomt, sammenliknet med andre arbeidsmarkedstiltak.
Det er likevel slik at flere av suksessfaktorer kan ha overføringsverdi til andre tiltak. For eksempel gjelder det veileders rolle, og å skape eierskap og engasjement hos deltaker.
Menn i helse er et utdanningstiltak og har derfor potensial for å gi effekt i form av økt arbeidsinntekt i en lengre periode enn det som er lagt til grunn i beregningen. Dette gir tiltaket en større oppside sammenliknet med lønnstilskudd. I tillegg rekrutterer Menn i helse til en sektor med dokumentert behov for arbeidskraft (Helsepersonellkommisjonen 2023). Det er derfor rimelig å anta at fortrengningseffekten er liten, noe som ytterligere styrker tiltakets lønnsomhet.
Referanser
Austin, Peter C., og Elizabeth A. Stuart. 2015. «Moving towards Best Practice When Using Inverse Probability of Treatment Weighting (IPTW) Using the Propensity Score to Estimate Causal Treatment Effects in Observational Studies». Statistics in Medicine 34(28): 3661–79. doi:10.1002/sim.6607
Bodory, Hugo, Camponovo ,Lorenzo, Huber ,Martin, og Michael and Lechner. 2020. «The Finite Sample Performance of Inference Methods for Propensity Score Matching and Weighting Estimators». Journal of Business & Economic Statistics 38(1): 183–200. doi:10.1080/07350015.2018.1476247.
Card, David, Jochen Kluve, og Andrea Weber. 2018. «What Works? A Meta Analysis of Recent Active Labor Market Program Evaluations». Journal of the European Economic Association 16(3): 894–931. doi:10.1093/jeea/jvx028.
Cunningham, Scott. 2021. Causal Inference The Mixtape. 1. utg. https://yalebooks.yale.edu/9780300251685/causal-inference (20 januar 2024).
Dehejia, Rajeev H., og Sadek Wahba. 1999. «Causal Effects in Nonexperimental Studies: Reevaluating the Evaluation of Training Programs». Journal of the American Statistical Association 94(448): 1053–62. doi:10.2307/2669919.
DFØ. 2023. Veileder i samfunnsøkonomisk analyser.
Finansdepartementet. 2021. Prinsipper og krav ved utarbeidelse av samfunnsøkonomiske analyser.
Forsmark, Siv-Mari, Ramberg Stav, Siri. Rekrutteringsprosjektet Menn i helse: Hvorfor og hvordan har Menn i helse blitt en suksess? [Master i Kunnskapsledelse]. Copenhagen Business School (CBS) og Aarhus Universitet (DPU); 2014.
Helsepersonellkommisjonen. 2023. NOU 2023:4 Tid for handling – Personellet i en bærekraftig helse- og omsorgstjeneste. Oslo: Arbeids- og inkluderingsdepartementet. NOU. https://www.regjeringen.no/no/dokumenter/nou-2023-4/id2961552/ (25 mars 2025)
Hirano, Kesuke og Imbens, Guido W. 2001. «Estimation of Causal Effects using Propensity Score Weighting: An Application to Data on Right Heart Catheterization». Health Services & Outcomes Research Methodology 2: 259–78.
Imbens, Guido W. 2000. «The Role of the Propensity Score in Estimating Dose-Response Functions». Biometrika 87(3): 706–10.
Lauritzen, Tonje, og Vigdis Mathisen Olsvik. 2018. «‘… hadde jeg visst hvor interessant dette yrket er, så hadde jeg gjort det for mange år siden’. Følgeevaluering av det nasjonale prosjektet Menn i helse.» https://www.ostforsk.no/publikasjoner/hadde-jeg-visst-hvor-interessant-dette-yrket-er-sa-hadde-jeg-gjort-det-for-mange-ar-siden-folgeevaluering-av-det-nasjonale-prosjektet-menn-i-helse/ (17 februar 2025).
Markussen, Simen, og Knut Røed. 2014. «The impacts of vocational rehabilitation». Labour Economics 31: 1–13. doi:10.1016/j.labeco.2014.08.001.
Meneses-Echavez, Jose F., Steiro, Asbjørn, Rose, Christopher James, Myrhaug, Hilde T., Nøkleby, Heid, og Siqveland, Johan. 2020. Education to Improve Labor Market Opportunities: A Systematic Review. Oslo: Norwegian Institute of Public Health (Folkehelseinstituttet).
Nav. 2024. Nav 2030 – Virksomhetsstrategi. NAV. https://www.nav.no/strategi.
Nav. 2025. Navs omverdensanalyse 2025–2035 Samfunnstrender og konsekvenser for Nav.
Oslo economics, Frischsenteret. 2024. Effekter av arbeidsmarkedstiltak, Bidrar arbeidsmarkedstiltak til å styrke deltakernes tilknytning til arbeidslivet? Utarbeidet for Arbeids- og inkluderingsdepartementet.
«Prinsipper og krav ved utarbeidelse av samfunnsøkonomiske analyser». 2021.
Prop. 1 LS (2017-2018). 2018. Prop. 1 LS (2017-2018) Proposisjon til Stortinget (forslag til lovvedtak og stortingsvedtak).
Rosenbaum, Paul R., og Donald B. Rubin. 1983. «The Central Role of the Propensity Score in Observational Studies for Causal Effects». Biometrika 70(1): 41–55. doi:10.2307/2335942.
Simson, Kristine. 2023. «Hva virker for hvem? Kunnskapsoversikt over effekter av aktiveringstiltak på sysselsetting og arbeidstilbud. Norske erfaringer.» NAV-rapport 1(1).
Svare, Helge. 2009. Menn i pleie og omsorg – brødre i hvitt. Universitetsforlaget.
Vigtel. 2024. Framskriving av tilbud av og etterspørsel etter utdanning mot 2050. Statistisk sentralbyrå. https://www.ssb.no/en/arbeid-og-lonn/sysselsetting/artikler/projection-of-supply-and-demand-for-education-towards-2050/_/attachment/inline/9e0749ea-f5cc-45cc-85f4-99113a282df7:ddcf8eab438645906d6c9f0a10b3ad45d773c580/RAPP2024-48.pdf (27 mars 2025).
Zhang, Zhongheng, Hwa Jung Kim, Guillaume Lonjon, og Yibing Zhu. 2019. «Balance diagnostics after propensity score matching». Annals of Translational Medicine 7(1): 16. doi:10.21037/atm.2018.12.10.



